ELEARNING - FREIBURG

HOME   Mathematik   Prüfungsaufgaben

Abikurs Mathe - Analysis

<< 02 - Ableitungsaufgabe >>




Die erste Aufgabe im Pflichtteil beschäftigt sich fast immer mit dem Bilden von Ableitungen. Dazu muss man die entsprechenden Ableitungsregeln beherrschen, nämlich:

• die Ableitung elementarer Funktionen
• die Produktregel
• die Kettenregel

Tabelle mit der Ableitung elementarer Funktionen

f(x) f'(x)
c 0
x 1
xn n·xn-1
sin(x) cos(x)
cos(x) -sin(x)
ex ex
ln(x) 1/x


Tabelle mit Ableitungsregeln

Rechenregel f(x) f'(x)
Konstanter Faktor: c·f(x) c·f'(x)
Summenregel: u(x)+v(x) u'(x)+v'(x)
Produktregel: xn u'(x)·v(x)+u(x)·v'(x)
Kettenregel: u(v(x)) u'(v(x))·v'(x)


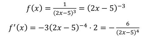
TIPP 1
Wenn eine Funktion mit einem Nenner abgeleitet werden soll, so schreiben Sie die Funktion zunächst in die „Hoch-Minus-Schreibweise“ um!
Warum?
Weil Sie dann die Potenzregel beim Ableiten verwenden können!

Beispiel:


TIPP 2
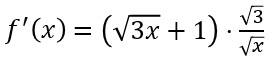
Wenn Sie eine Wurzel ableiten müssen, wandeln Sie die Wurzel zunächst in die Potenzschreibweise um ( ist dasselbe wie ).
Wenden Sie anschließend wieder die Potenzregel an!

Beispiel:

Abi-Aufgaben früherer Jahrgänge

Pflichtteil 2006 - Aufgabe 1:
Bestimmen Sie die Ableitung der Funktion f mit .

(2 VP)

Pflichtteil 2007 - Aufgabe 1:
Bilden Sie die erste Ableitung der Funktion f mit f(x)=(1+sin(x))2.

(2 VP)

Pflichtteil 2010 - Aufgabe 1:
Bilden Sie die erste Ableitung der Funktion f mit f(x)=(2-3x)·e-x und vereinfachen Sie so weit wie möglich.

(2 VP)

Pflichtteil 2017 - Aufgabe 1:
Bilden Sie die Ableitung der Funktion f mit f(x)=x2·ex+1.

(1 VP)

Lösungen in Kurzform:
Die vollständigen Lösungewege werden im Video gezeigt.

Pflichtteil 2006 - Aufgabe 1: f'(x)=x·cos(4x2)

Pflichtteil 2007 - Aufgabe 1: f'(x)=2(1+sin(x))·cos(x)

Pflichtteil 2010 - Aufgabe 1: f'(x)=e-x(3x-5)

Pflichtteil 2017 - Aufgabe 1: f'(x)=ex+1(2x+x2)

Weitere Übungsaufgaben:

1) f(x)=x2·ex
2) f(x)=ex/2
3) f(x)=sin(ln(x))
4)
5)

Lösungen in Kurzform:

1) f'(x)=ex(x2+2x)
2) f'(x)=1/2·ex/2
3) f'(x)=cos(ln(x))·1/x
4)
5)

Downloads

PowerPoint
PDF